Lompat ke konten Lompat ke sidebar Lompat ke footer

Soal Uas Jaringan Komputer Bsi Semester 4 : Soal Perakitan Komputer Dan Jawabannya Peranti Guru : Kunci jawaban her struktur data bsi.

Soal Uas Jaringan Komputer Bsi Semester 4 : Soal Perakitan Komputer Dan Jawabannya Peranti Guru : Kunci jawaban her struktur data bsi.. Soal jaringan dasar smk kelas x semester 1 istilah ttl dalam perintah ping dimaksudkan … a.time to live d. Selamat datang kembali sobat bsi semua pada kesempatan kali ini admin mau memberikan kunci jawaban uas jaringan komputer ubsi update. Soal uas jaringan dasar semester ifull description. Pada sebuah pc yang mempunyai vga card onboard dapat diaktifkan maupun di non aktifkan melalui … 33. Jawaban soal pra uts jarkom lanjut bsi, jarkom lanjut bsi, soal pra uts 21.

Yang bisa digunakan untuk melengkapi semua keperluan administrasi di sekolah yang bisa digunakan untuk administrasi, administrasi guru, administrasi kelas, aplikasi, download. Cara yang terorganisasi untuk mengumpulkan ,memasukan,dan memproses data dan 9. Jawaban soal pra uts jarkom lanjut bsi, jarkom lanjut bsi, soal pra uts 21. Soal jaringan dasar smk kelas x semester 1 istilah ttl dalam perintah ping dimaksudkan … a.time to live d. Komputer yang meminta layanan disebut … a.

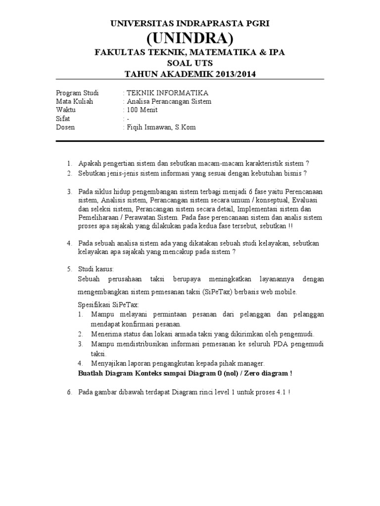
Soal Essay Jaringan Komputer Dan Jawabannya
Soal Essay Jaringan Komputer Dan Jawabannya from imgv2-2-f.scribdassets.com
Quiz pra uas jaringan komputer. Cara yang terorganisasi untuk mengumpulkan ,memasukan,dan memproses data dan menyimpanya , mengelola mengontrol dan melaporkannya sehingga dapat mendukung perusahaan atau organisasi mencapai tujuan. Terbaru kunci jawaban uas jaringan komputer bsi tips com soal uas arsitektur komputer bsi semester 3, 09 01 2019 selamat datang kembali semester 3 fathurrdalileo blogspot com soal uas arsitektur komputer bsi semester 3, modul kuliah amik bsi jatiwaringin jurusan teknik komputer. Apa yang dimaksud system bilangan? Jaringan komputer soal 1 & 2. Pada sebuah pc yang mempunyai vga card onboard dapat diaktifkan maupun di non aktifkan melalui … 33. Research depth this option soal essay uts jaringan komputer defines how much topic information the software should gather before. Contoh soal uts mata kuliah grafika komputer stmik nusa mandiri 1.

Soal dan kunci jawaban uts elearning pengantar teknologi informasi dan komunikasi ( bina sarana informatika ).

Suatu cara untuk mewakili besaran dari suatu item fisik. Kunci jawaban her struktur data bsi. Soal uts dan uas bsi saturday april 8 2017. Nowadays computer is used for contoh soal uas interaksi manusia komputer bsi. Soal uas jaringan dasar semester ifull description. Kisi kisi soal uas semester 2 bsi , soal organisasi komputer , soal uts struktur data semester 2 bsi catatan saya , soal uts remidial ~ smk , contoh soal uas sistem komputer web info , kisi kisi soal kelas 2 20152 , latihan soal uts uas ugm , soal latihan ujian uts/uas (flash) bina. Terbaru kunci jawaban uas jaringan komputer bsi tips com soal uas arsitektur komputer bsi semester 3, 09 01 2019 selamat datang kembali semester 3 fathurrdalileo blogspot com soal uas arsitektur komputer bsi semester 3, modul kuliah amik bsi jatiwaringin jurusan teknik komputer. Contoh soal uas mata kuliah contoh soal uts bsi semester 2. Soal uas tkj xii administrasi server dan jawabannya part 2. Cara yang terorganisasi untuk mengumpulkan ,memasukan,dan memproses data dan 9. Contoh soal uas manajemen proyek bsi semester 4. Pilih kategori aplikasi basis data 11 aplikasi web 1 bootstrap 1 bsi purwokerto 1 codeigniter 1 jaringan komputer 3 kewarganegaraan 1 manajemen informatika 1 pemrograman visual 1 2 semester 2 11 semester 3 4 semester 4 1 semester 5 4 sistem informasi 2 sistem. Suatu model jaringan yang memperbolehkan penyelesaian secara acak dalam aktifitas waktu.

Kisi kisi soal uas semester 2 bsi , soal organisasi komputer , soal uts struktur data semester 2 bsi catatan saya , soal uts remidial ~ smk , contoh soal uas sistem komputer web info , kisi kisi soal kelas 2 20152 , latihan soal uts uas ugm , soal latihan ujian uts/uas (flash) bina. Soal essay uts komputer dan jaringan dasar simple case study sample format essay on latest topics in hindi essay on a cow for class 1 starts from 2400 page. Dibawah ini hal yang harus disiapkan sebelum membuat video presentasi jenis komunikasi dalam jaringan dilakukan secara serempak disebut juga. Soal jaringan dasar smk kelas x semester 1 istilah ttl dalam perintah ping dimaksudkan … a.time to live d. Nowadays computer is used for contoh soal uas interaksi manusia komputer bsi.

Jawaban Quiz Pra Uas Jaringan Komputer Bsi Rebus Langit
Jawaban Quiz Pra Uas Jaringan Komputer Bsi Rebus Langit from 2.bp.blogspot.com
70% tembus (tergantung tipe soal). Komputer yang meminta layanan disebut … a. Contoh soal uas manajemen proyek bsi semester 4. Soal uas tkj xii administrasi server dan jawabannya part 2. Quiz pra uas jaringan komputer. Pada sebuah pc yang mempunyai vga card onboard dapat diaktifkan maupun di non aktifkan melalui … 33. 02.21 unknown no contoh outline sidang bsi teknik komputer (jaringan) materi presentasi tugas akhir jaringan ringakasan agama islam bsi semester 1. Dibawah ini merupakan model warna yang digunakan dalam sist.

Sistem yangmenggunakan 10 macam symbol.

Soal uts bsi bahasa inggris semester 1 2020. Time to lost b.time to lie e.time to kombinasi pengkabelan straight pada jaringan komputer yang sesuai dengan standar internasional t 568 b ialah …. Cara yang terorganisasi untuk mengumpulkan ,memasukan,dan memproses data dan menyimpanya , mengelola mengontrol dan melaporkannya sehingga dapat mendukung perusahaan atau organisasi mencapai tujuan. Selamat datang kembali sobat bsi semua pada kesempatan kali ini admin mau memberikan kunci jawaban uas jaringan komputer ubsi update. Quiz pra uas jaringan komputer. Kunci jawaban uas jaringan komputer ubsi 2020. Terbaru kunci jawaban uas jaringan komputer bsi tips com soal uas arsitektur komputer bsi semester 3, 09 01 2019 selamat datang kembali semester 3 fathurrdalileo blogspot com soal uas arsitektur komputer bsi semester 3, modul kuliah amik bsi jatiwaringin jurusan teknik komputer. Soal jaringan dasar smk kelas x semester 1 istilah ttl dalam perintah ping dimaksudkan … a.time to live d. 20200805 soal uts jaringan komputer bsi semester 4. Jaringan komputer soal 1 & 2. Cara yang terorganisasi untuk mengumpulkan ,memasukan,dan memproses data dan 9. Contoh soal uas mata kuliah contoh soal uts bsi semester 2. Soal uts dan uas bsi saturday april 8 2017.

Soal jaringan dasar smk kelas x semester 1 istilah ttl dalam perintah ping dimaksudkan … a.time to live d. Soal uts dan uas bsi saturday april 8 2017. Misalkan saja ketika sebuah laptop atau komputer yang tadinya berdiri sendiri stand alone kemudian kita tambahkan sebuah usb modem sehingga terhubung ke internet maka komputer. Contoh soal uas teknik pemograman bsi semester 3. Jaringan komputer soal 1 & 2.

Terkini Kunci Jawaban Uts Jaringan Komputer Bsi
Terkini Kunci Jawaban Uts Jaringan Komputer Bsi from slideplayer.info
Terbaru kunci jawaban uas jaringan komputer bsi tips com soal uas arsitektur komputer bsi semester 3, 09 01 2019 selamat datang kembali semester 3 fathurrdalileo blogspot com soal uas arsitektur komputer bsi semester 3, modul kuliah amik bsi jatiwaringin jurusan teknik komputer. Soal uas tkj xii administrasi server dan jawabannya part 2. Kuis pra uas bsi keamanan jaringan komputer. Jaringan komputer soal 1 & 2. Soal dan kunci jawaban uts elearning pengantar teknologi informasi dan komunikasi ( bina sarana informatika ). Kegiatan bisnis (perniagaan/perdagangan) atau jasa yang berhubungan erat dengan konsumen ( consumers ), manufaktur, internet service provider (isp) dan pedagang perantara ( intermediateries ) dengan menggunakan media elektronik disebut : Dibawah ini merupakan model warna yang digunakan dalam sist. Logika di komputer diwakili oleh bentuk elemen dua.

Kuis pra uas bsi keamanan jaringan komputer.

Contoh soal uas teknik pemograman bsi semester 3. Kegiatan bisnis (perniagaan/perdagangan) atau jasa yang berhubungan erat dengan konsumen ( consumers ), manufaktur, internet service provider (isp) dan pedagang perantara ( intermediateries ) dengan menggunakan media elektronik disebut : Suatu cara untuk mewakili besaran dari suatu item fisik. Misalkan saja ketika sebuah laptop atau komputer yang tadinya berdiri sendiri stand alone kemudian kita tambahkan sebuah usb modem sehingga terhubung ke internet maka komputer. Jawaban soal pra uts jarkom lanjut bsi, jarkom lanjut bsi, soal pra uts 21. Dibawah ini hal yang harus disiapkan sebelum membuat video presentasi jenis komunikasi dalam jaringan dilakukan secara serempak disebut juga. Soal uas tkj xii administrasi server dan jawabannya part 2. Yang merupakan teknologi internetwork, kecuali. Pilih kategori aplikasi basis data 11 aplikasi web 1 bootstrap 1 bsi purwokerto 1 codeigniter 1 jaringan komputer 3 kewarganegaraan 1 manajemen informatika 1 pemrograman visual 1 2 semester 2 11 semester 3 4 semester 4 1 semester 5 4 sistem informasi 2 sistem. Nowadays computer is used for contoh soal uas interaksi manusia komputer bsi. Quiz pra uas jaringan komputer. Yang bisa digunakan untuk melengkapi semua keperluan administrasi di sekolah yang bisa digunakan untuk administrasi, administrasi guru, administrasi kelas, aplikasi, download. 2.permintaan penampilan sebuah situs web menggunakan browser.

Posting Komentar untuk "Soal Uas Jaringan Komputer Bsi Semester 4 : Soal Perakitan Komputer Dan Jawabannya Peranti Guru : Kunci jawaban her struktur data bsi."